Haruna Niyonzima yahawe icyubahiro na FIFA
Umukinnyi wo hagati wakiniye ikipe y'igihugu y'u Rwanda Amavubi, Haruna Niyonzima yahawe icyubahiro n'Impuzamashyirahamwe y'umupira w'amagaru ku Isi FIFA ashyirwa mu bakinnyi bujuje imikino 100 mu ikipe y'igihugu.
Ni urutonde rwakozwe tariki 28 Ukwakira ariko rusakara cyane ku wa Kane tariki 30 Ukwakira 2025, aho impuzamashyirahamwe y'umupira w'amagaru ku Isi ibinyujije ku mbuga nkoranyambaga zayo yatangaje abakinnyi bamaze gukina imikino myinshi mu ikipe y'igihugu yaba abagikina ndetse n'abaretse umupira w'amagaru.
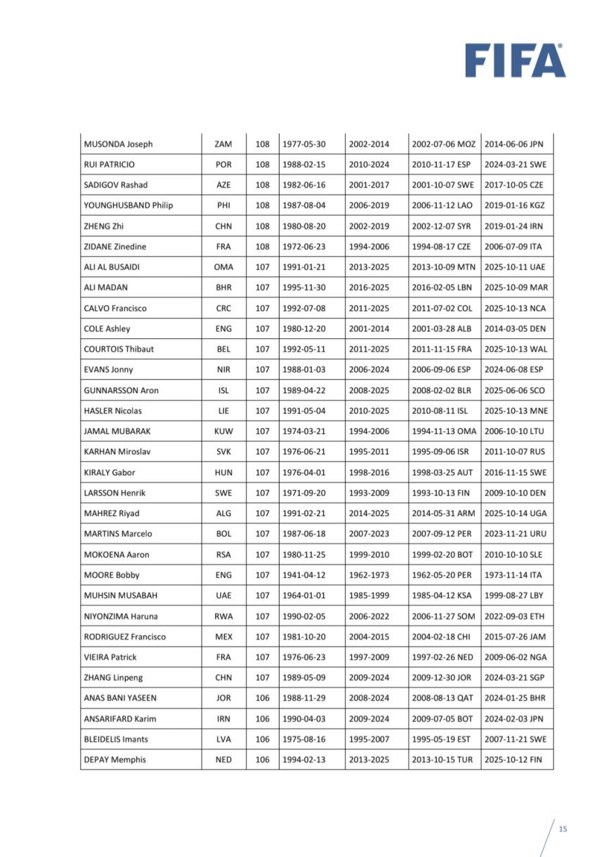
Uru rutonde rwajeho umunyarwanda Haruna Niyonzima wakanyujijeho mu myaka ishize ndetse akundwa cyane n'abanyarwanda kubera ubuhanga n'ubushobozi yagaragazaga mu kibuga. Haruna Niyonzima kuza kuri uru rutonde ni uko yakiniye ikipe y'igihugu y'u Rwanda Amavubi imikino 107.
Haruna Niyonzima wabyutse tariki 2 Gicurasi 1990, umukino wa mbere yakiniye ikipe y'igihugu y'u Rwanda Amavubi yawukinnye tariki 27 Ukuboza 2006 ubwo yakinaga na Somalia, naho umukino wa nyuma yawukinnye tariki 9 Werurwe 2022 ubwo u Rwanda rwakinaga na Ethiopia.
Uru rutonde rw'abakinnyi bakiniye amakipe yabo y'ibihugu ruyobowe na Cristiano Ronaldo ukina muri Portugal ndetse ukiri no mu kibuga kugeza ubu aho akina muri Al Nassr. Ronaldo amaze gukina imikino 225 naho mucyeba we Lionel Messi ari ku mwanya wa Gatatu amaze gukina imikino 195.
Haruna Niyonzima ari mu bakinnyi bujuje imikino 100


Kinyarwanda
English
Swahili









